The Gilbert Murray Chronicles - originally published as scambuster419.co.uk

The Gilbert Murray Chronicles - originally published as scambuster419.co.uk

Welcome

Introduction

The Gypping in the Marsh Village Website

Gypping in the Marsh in Times Past

The Chronicles

The Cheesemaker - New

The Orphanage Director III

The Cat Boiler

The Anchorite

The Serial Killer

The Lottery Winner II

The Inventor

The Professor of Economics

The Retired Wing Commander

The Poultry Magnate

The Poet

The Aristocrat

The Orphanage Director

The Rubber Duck Manufacturer

The Doctor of Economics

The Vicar

The Vicar II

The Butcher

The Retired Wing Commander II

The Undertaker

The Circus Ringmaster

The Inventor II

The Lottery Winner

The Member of Parliament

The Miller

The Vicar III

The Poultry Magnate II

The Poultry Magnate III

The Inventor III

The Retired Wing Commander III

The Adult Video Director

The Dating Agency Proprietor

The Cess Pit Cleaner

The Orphanage Director II

The Psychosexual Therapist

The Vicar IV

The Veterinary Surgeon

The Hotelier

The Farmer

The Baker

The Retired Wing Commander IV

The Inventor IV

The Door Furniture Specialist

The Member of Parliament II

The Brewer

The Signwriter

The Worm Sanctuary Owner

The Astrologer

The Vicar V

The Football Club Manager

The Aristocrat II

The General Practitioner

Beaker's Story - New

Mapping Gilbert's Activities

Map of Gypping in the Marsh

The Global Scamming Community

Internet Fraud Information

Classified Advertisement Scams

Investment Scams

Job Vacancies in the Scamming Business

Scambaiting Advice

How to Scam a Scammer

Gilbert's Guide to Sending Money to Scammers

Blank Western Union and MoneyGram Receipts

Reactions and Feedback

The Scammers' Reactions

Feedback from Fans

Contact Details

Copyright Notice


Home - Internet Fraud Information - Investment Scams


Investment Scams


Advance fee fraud isn't confined to West Africans sending out thousands of emails offering you the business opportunity of a lifetime; although this form of advance fee fraud is still widespread, scammers are finding new and ingenious ways to con people out of their hard earned money.

One way in which they are now doing this is by responding to appeals for people to invest in new business ideas. There are a number of websites that have been set up with the specific aim of bringing together people who have ideas for new businesses and entrepreneurs who have money to invest. These are proving to be rich picking grounds for the advance fee fraudsters.

What follows is a transcript of a real exchange of emails between one such person with a new business idea and the "entrepreneur" who contacted him and offered to fund his new business. "Steve", the person with the new business idea, advertised on a website called DealFlow, seeking for an entrepreneur who was willing to fund his new business venture. He was soon contacted by a plausible sounding man, who was very keen indeed to invest in the concept. The entrepreneur quickly got his lawyer involved to arrange some paperwork, which of course involved some legal fees. And of course the lawyer wanted payment up front via Western Union... it turned out to be a very neat case of advance fee fraud.

Luckily, "Steve" and his partner "Amy" got suspicious when the lawyer insisted on payment up front via Western Union and did some research on the internet... and that's when they contacted scambuster419.co.uk.

Please note that the names of "Steve" and his partner have been changed in order to protect their identity, and the spelling and grammar of the emails has been tidied up slightly. However, everything else that follows is an exact transcript of the email exchange between "Steve", "Amy" and the scammers.

Please also note that www.dealflow.com is in no way connected to any of the scammers who may unfortunately use it to harvest information on potential victims. In fact, DealFlow takes active steps to prevent its users from falling victim to scams.

Cast of characters

  • Steve Larkey - someone with a business idea who is looking for an entrepreneur to help finance the project and get it off the ground.
  • Amy Barton - his partner and secretary/bookkeeper.
  • Ryan Scholes - allegedly an entrepreneur based in the UK who is interested in investing money in Mr Larkey's new business.
  • Kester Anderson - allegedly Mr Scholes' attorney, also based in the UK.


From: Ryan Scholes

To: Steve Larkey

Subject: Enquiry from Ryan Scholes

Sent: Mon, 22 Nov 2004 09:22:08 -0800 (PST)

Steve Larkey,

I have a sincere interest in funding your project based on your information provided on www.dealflow.com.

Please send me your complete business plan for my review.

Regards,

Ryan Scholes


From: Steve Larkey

To: Ryan Scholes

Subject: Re: Enquiry from Ryan Scholes

Sent: Tue, 23 Nov 2004 08:36:48 0800 (PST)

Here is the completed business plan. Please respond at your earliest convenience.

Steve Larkey


"Steve" attached his business plan to the email.


From: Steve Larkey

To: Ryan Scholes

Subject: Business Plan

Sent: Wed, 24 Nov 2004 23:25:03 -0800 (PST)

Hi Ryan,

Just wondering if you liked what you saw in the business plan If you didn't please let me know of any additional info it could use for future prospects.

Thanks,

Steve Larkey


From: Ryan Scholes

To: Steve Larkey

Subject: Collateral

Sent: Thu, 25 Nov 2004 03:24:42 -0800 (PST)

Mr Larkey,

What kind of collateral do you have to put forth into your project at this time?

Regards,

Ryan Scholes


From: Steve Larkey

To: Ryan Scholes

Subject: Re: Collateral

Sent: Thu, 25 Nov 2004 06:49:36 -0800 (PST)

Ryan,

I unfortunately have no collateral. This is why I am seeking an investor privately. The return on investment as you can see is quite good. I was looking to partner up and give a percentage of the ownership to whichever investor decides to fund the project.

Thank you,

Steve Larkey


From: Ryan Scholes

To: Steve Larkey

Subject: Re: Collateral

Sent: Thu, 25 Nov 2004 23:35:37 +0800

Mr Steve Larkey,

That is a little bit difficult to lend money without a good collateral, however what percent equity stake are you offering for the full amount sought?

Mr Ryan Scholes, Pres. RS Ltd


From: Steve Larkey

To: Ryan Scholes

Subject: Re: Collateral

Sent: Thu, 25 Nov 2004 14:16:47 -0800 (PST)

We were looking to give up to 40% of the company.


From: Ryan Scholes

To: Steve Larkey

Subject: Re: Collateral

Sent: Sat, 27 Nov 2004 02:38:38 +0800

Mr Steve Larkey,

Accepted.

Go ahead and contact the lawyer that will be mediating between us for all the necessary paper works need to put in place before transfer of loan amount:

Kester Anderson Esq, Senior Member, Kester & Co

Tel: xx-xx-xxx-xxxx

Email: xxxxxx_co@yahoo.co.uk

Once the paper work is concluded, we shall commence transfer of loan amount.

Mr Ryan Scholes, Pres. RS Ltd


From: Steve Larkey

To: Ryan Scholes

Subject: Please advise

Sent: Sun, 28 Nov 2004 21:53:28 -0800 (PST)

Mr Scholes,

I have contacted the attorney to whom you referred. This is of course my first business venture of my own and I am uneducated in the steps we will be taking here. One of my first questions has a very simple answer I am sure.

When and how do you get your profit dollars? Will it be before or after the loan is paid? Over what time frame will you want the loan to be repaid? In the first year things will be tight due to our growth projections compared to our income projections, and I was concerned with making sure we have the operating capital in the bank during that time. Will you be a mostly "silent partner"? Or did you have more of an interest in the day to day operations? I was also interested in some sort of buyout clause after five years if at all possible.

Please respond. These things are merely simple issues we can easily work out and I am very interested in getting things off the ground as soon as possible.

Steve Larkey


From: Ryan Scholes

To: Steve Larkey; Cc: Kester Anderson

Subject: Re: Please advise

Sent: Mon, 29 Nov 2004 19:34:14 +0800

Mr Larkey,

Per your enquiries:

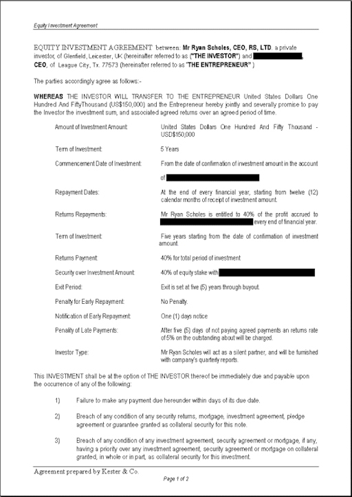
  1. When and how do you get your profit dollars? Will it be before or after the loan is paid? THE INVESTMENT WILL BE EQUITY INVESTMENT AT 40% EQUITY STAKE IN YOUR FIRM. NOT DEBT FINANCING. LIKE THIS IT MAKES IT EASIER FOR BOTH OF US. SO, I WILL BE RECEIVING 40% OF THE PROFIT FROM YOUR COMPANY EVERY YEAR UNTIL FIVE YEARS, WHEN YOU CAN EITHER BUY OVER MY 40% OR I SELL IT.
  2. Over what time frame will you want the loan to be repaid? In the first year things will be tight due to our growth projections compared to our income projections, and I was concerned with making sure we have the operating capital in the bank during that time. IN THE FIRST YEAR, THERE WILL NOT BE ANY RETURNS FOR ME, THAT IS YOU WILL NOT PAY ANY RETURNS TO ME DURING THE FIRST YEAR. 40% OF PROFIT RETURNS WILL START IN THE SECOND YEAR.
  3. Will you be a mostly "silent partner"? Or did you have more of an interest in the day to day operations? I was also interested in some sort of buyout clause after five years if at all possible. I WILL BE A SILENT PARTNER, THAT WILL BE SENT QUARTERLY REPORTS OF THE COMPANY. YOU WILL RESERVE THE RIGHT FOR A FIRST BUY AT EXIT PERIOD OF FIVE YEARS.

I have copied Kester Anderson Esq this letter as well.

Mr Ryan Scholes, Pres. RS Ltd


From: Steve Larkey

To: Ryan Scholes

Subject: Re: Please advise

Sent: Mon, 29 Nov 2004 06:11:32 -0800 (PST)

Thank you for clearing that up. I appreciate all your help. I believe you have answered all my questions.

Mr Larkey


From: Steve Larkey

To: Kester Anderson

Subject: Confirmation

Sent: Sun, 30 Nov 2004 07:56:08 -0800 (PST)

Mr Anderson,

Your name and contact information were provided to me by Mr Scholes. Please send me any necessary paperwork to help me assure this loan process is underway.

Thanks and best regards,

Steve Larkey


From: Kester Anderson

To: Steve Larkey

Subject: Re: Confirmation

Sent: Tue, 30 Nov 2004 14:12:41 +0000 (GMT)

Sir,

We have finished with the agreement, please re-confirm the amount sought so that we can send the equity agreement to you.

Sincerely,

Kester Anderson Esq, Senior Member, Kester & Co


From: Steve Larkey

To: Kester Anderson

Subject: Re: Confirmation

Sent: Tue, 30 Nov 2004 08:07:06 -0800 (PST)

Per your request, I am requesting 150,000 USD to fund this project.

Regards,

Steve Larkey


From: Kester Anderson

To: Steve Larkey

Subject: Agreement Attached

Sent: Tue, 30 Nov 2004 14:42:56 +0000 (GMT)

Mr Steve Larkey, Owner,

The agreement is attached herewith.

You are at liberty to make any changes to the agreement.

Prepare the hard copy of the equity collateral to be collected by Mr Scholes personally on closure.

We are charging a fee of British pounds 1,000 for this service. Mr Ryan Scholes said that the fee will be paid by the parties to the investment (Mr Ryan Scholes & Mr Steve Larkey). Mr Scholes sent half of the fee ( 1,000.00) to us this morning.

We will be expecting to receive the balance of the fee ( 1,000.00) from you on execution of the debt finance agreement.

Sincerely,

Kester Anderson Esq, Senior Partner, Kester & Co

Page 1 of a forged lawyer's agreement

Page 1 of the lawyer's agreement

Page 2 of a forged lawyer's agreement

Page 2 of the lawyer's agreement


From: Steve Larkey

To: Kester Anderson

Subject: Agreement/Fees

Sent: Tue, 30 Nov 2004 08:18:51 -0800 (PST)

Everything looks good with the agreement.

Only problem is I currently live small paycheck to small paycheck. When the investment hits the bank I have already budgeted for a certain amount to be used for legal fees. I assume it is not a problem for you to wait till the investment dollars hit so that I can pay you for your services at that time?

Also, do you want me to print the copy of the agreement, then sign it and send it to you via fax or overnight mail?

Steve Larkey


From: Steve Larkey

To: Ryan Scholes

Subject: Legal Fees

Sent: Tue, 30 Nov 2004 09:15:01 -0800 (PST)

Mr Scholes,

I am sending you this just to keep you updated as to how things are going.

The attorney mentioned his cost today and although I do not mind sharing the cost of his services I currently do not have the funds he requires. I have been putting all my time and money into marketing for the business. I am trying to work it out in such a way to where we can pay him my part from the investment dollars since I do have 10,000 USD of the money set aside in the budget of the investment amount for legal fees. Should he not be able to wait till that time, it could be quite a while before I am able to get that kind of money together. The agreement is sound and I am looking forward to getting things off the ground.

Regards,

Steve Larkey


From: Kester Anderson

To: Steve Larkey

Subject: Re: Agreement/Fees

Sent: Tue, 30 Nov 2004 12:32:54 +0800 (GMT)

Sir,

When you finish signing the agreement, scan and send it to us through email attachment.

As soon as all parties to this agreement receive the fully executed contract agreement, we expect you to send our balance fee. Our services to both you and Mr Scholes comes to an end upon execution of contract agreement. We will not be able to wait until you receive your investment amount.

Sincerely,

Kester Anderson Esq, Senior Member


From: Steve Larkey

To: Ryan Scholes

Subject: Start-up

Sent: Tue, 30 Nov 2004 12:36:13 -0800 (PST)

Mr Scholes,

I want to take a moment and send my gratitude to you and Mr Anderson for all of your help. You have satisfied my every need, thus far, and I am truly grateful.

Seeing as how I am still somewhat a rookie in starting my own business, I have been a somewhat successful retail businessman until my recent job transfer, at which time I decided to move forward with my dream of starting this business not only to help myself, but to help the needs of others.

The steps that have been taken in order to help set this off of the ground could not have been handled in such a professional manner if it was not for your guidance. I would have taken a completely different approach to finding an investor, or loan, and you have proven to be a much more efficient route.

However, the funds I had set aside for legal fees (which I did not believe to come into play as early as they have) were set aside from the loan, rather than my pocket. Due to marketing my idea, gathering research, and supporting my family, I am unable at this moment to put forth the requested funding for the agreement drawn up by Mr Anderson.

As my partner, and my investor, would it be uncouth of me to ask you to provide those funds for me until I can immediately reimburse you from the loan received? I am excited about moving forward with my business plans and sharing my business with you over the course of the next several years. If this is unobtainable, please reply immediately so I can seek other actions to satisfy my needs as well as the needs of you and Mr Anderson.

I appreciate your much valued time and assistance. Thank you kindly for your tutelage. Any information that you can provide or share at any time, as an experienced investor, will be greatly appreciated and dually noted for the success of Real Estate Respect.

Best regards,

Steve Larkey


From: Steve Larkey

To: Kester Anderson

Subject: Re: Agreement/Fees

Sent: Tue, 30 Nov 2004 20:52:12 -0800 (PST)

Sir,

The attachment is my signed agreement as you requested. I am currently working on the options for which your payment will be coming. Please bear with me.

Thank you,

Steve Larkey


The signed agreement was attached to this email.


From: Ryan Scholes

To: Steve Larkey

Subject: Re: Start-up

Sent: Wed, 01 Dec 2004 21:48:41 +0800

Mr Steve Larkey,

I have gone through your mail and request on the fee payment for Kester & Co. The reason I decided to take care of their initial fee is to show my willingness and commitment to this transaction and I need to see such from you as well.

In the light of the above, it will not be possible for me to pay for their balance fee.

Once the agreement is executed I will need your receiving account information where the loan will be wired to.

Mr Ryan Scholes, Pres. RS Ltd


From: Steve Larkey

To: Ryan Scholes

Subject: Re: Start-up

Sent: Wed, 01 Dec 2004 06:33:26 -0800 (PST)

Mr Scholes,

I understand completely what you are saying, just please be aware that this may slow down the process a bit. I will get with what people I know here in the States to try and pull the necessary funds. I unfortunately have spent everything I have on this project thus far and it may take some time to acquire these funds. I will email when I am able to pool these funds together.

Thank you for understanding,

Steve Larkey


From: Kester Anderson

To: Steve Larkey

Subject: Re: Agreement

Sent: Wed, 01 Dec 2004 10:38:23 +0000 (GMT)

Sir,

Please re-send agreement through JPG format. The one you sent could not be opened.

Sincerely,

Kester Anderson Esq, Senior Member, Kester & Co


From: Steve Larkey

To: Kester Anderson

Subject: Re: Agreement

Sent: Wed, 01 Dec 2004 06:27:45 -0800 (PST)

My sincerest apologies.

Here is the agreement in JPG format. I will be trying to come up with your payment amount from my end. Let me know when you need it and I will send by wire to your account.

I am currently unsure of how to go about getting the funds for you but will borrow from family to get it if necessary.

This may slow down the process a bit, since there is no way for you to take payment after the transfer of funds from Mr Scholes, but let me know when to send and to what account.

Regards,

Steve Larkey


From: Steve Larkey

To: Ryan Scholes

Subject: Re: Start-up

Sent: Wed, 01 Dec 2004 11:12:14 -0800 (PST)

Mr Scholes,

I was able to come up with the funds necessary to pay my part of the attorney's fees. So we should not have a problem getting things done now. Thank you for your patience on this matter.

Please respond if you have any enquires.

Regards,

Steve Larkey


From: Steve Larkey

To: Kester Anderson

Subject: Re: Agreement

Sent: Wed, 01 Dec 2004 11:13:54 -0800 (PST)

Just to let you know, I was finally able to obtain the monies necessary for your services. When you have everything done and need it wired just let me know.

Thank you,

Steve Larkey


From: Kester Anderson

To: Steve Larkey

Subject: Re: Agreement

Sent: Thu, 02 Dec 2004 12:23:31 +0000 (GMT)

Please, the agreement you sent did not come out clearly. Please re-send or you can send it to my fax no: xx-xxx-xxx-xxxx. Try as much as possible to make sure this is done today. Mr Ryan Scholes just wanted this to be done immediately. I would be happy if you can send this right now.

Kester Anderson


From: Steve Larkey

To: Ryan Scholes

Subject: Re-sent

Sent: Thu, 02 Dec 2004 06:09:48 -0800 (PST)

Mr Scholes,

I have re-sent the signed document at a higher DPI rate. It is now much more legible.

I also am awaiting the attorney's response to make sure. Unfortunately I can't seem to get through on the phone. I again was able to acquire the funds to pay him the other half of the fees and am awaiting his response as to where to send the amount by wire transfer.

Thank you again,

Steve Larkey


From: Kester Anderson

To: Steve Larkey

Subject: Agreement Finally Received

Sent: Thu, o2 Dec 2004 15:42:06 +0000 (GMT)

Sir,

I have just received the agreement and have forwarded the same to Mr Scholes for his signatory.

While that is going on you can send the balance of our fee through WESTERN UNION MONEY TRANSFER in the name of our assistance CFO (the CFO has gone on vacation).

NAME: FRED DENNIS

ADDRESS: LONDON, UK

We will need to have the sender's name and address, test question and answer and control number sent by you after sending the money to enable pick up of money.

Sincerely,

Kester Anderson Esq, Senior Member, Kester & Co


From: Ryan Scholes

To: Steve Larkey

Subject: Progress

Sent: Thu, 02 Dec 2004 22:21:56 +0800

Mr Steve Larkey,

I am impressed by your perseverance which is a true show of commitment.

What I am waiting for now is to receive your signed copy of the agreement for my signatory and once the agreement is fully executed we can start the transfer of loan amount.

Mr Ryan Scholes, Pres. RS Ltd


At this point, "Steve" and "Amy" began to get suspicious: what reputable law firm would demand payment in advance by Western Union?


From: Amy Barton

To: Kester Anderson

Subject: Your fees

Sent: Thu, 02 Dec 2004 10:08:06 -0800 (PST)

Mr Anderson,

As a legal establishment there has to be another way. In visiting with lawyers and those I know who deal with such on a regular basis, it is normally the lawyer's duty to fulfill the needs of his clients before receiving any funds.

We are not arguing the fact that the money is owed, and we had full intentions today of sending it. However, Western Union does not suit my needs as a legal way of handling this matter. If Mr Scholes has the means to wire my loan to our account, why is it that we do not have the means to wire this to you? As an outsider looking in, you must understand our concern.

We are risking a great deal, and as a trusted and respected investor and individual, please help me to understand this is the legal way to handle this matter. We can send a money order by overnight mail as that proves to me to be more sufficient. We are uncomfortable sending these funds via Western Union. Is the option to wire the funds to you available?

We would feel it safe more so than now. I can, on the other hand, send it by credit card as well and, as a legal firm, this should be OK with you. I use Mastercard.

Please understand on my end that this is very scary. Sending the money by Western Union, if that is your only way of payment, would be to say the least possible way for us to track our transaction.

We want to get the business off the ground, but "RED FLAGS" are popping up when people say to send the info in a different name by Western Union and want all the information that is necessary not to show an ID at their end.

Would it be possible, again, to wire this money to Mr Scholes and him send you my funding? I do not want to be bothersome. However, I hope you understand my sincerest concern.

Thank you for your understanding,

Amy Barton

PS. Please contact Steve Larkey by phone at your earliest convenience. The number is xxx-xxx-xxxx. I am sure the operator can give the country code.


From: Steve Larkey

To: Ryan Scholes

Subject: Concerns

Sent: Thu, 02 Dec 2004 09:45:13 -0800 (PST)

Mr Scholes,

The attorneys are asking for me to Western Union the money to them under an alternative name, and all the info that is needed to pick it up without ID. I understand that someone may be on vacation, but as a law firm they should be able to take credit card payments or cheques, or have an ability to wire it to their account.

I could be wrong. Unfortunately I only have enough for the conversion ratio and can't send it via Western Union anyway because of the fee (not enough money). Is there any way that you can be sent the money? And then you knowing them, you can give it to them.

I have persevered in this endeavour but I have absolutely no guarantee of the little money I do have by sending it the way they request. The legitimacy of this is starting to be questioned in my eyes.

A simple solution remains. I can use an attorney here and will gladly pay your half (since you have already paid Mr Anderson at your end). This will allow you to guarantee my legitimacy and me to guarantee yours as well. Everybody wins this way.

If Mr Andrews can come up with a better way for me to pay them, I can also go that route.

Thank you for your understanding. It would be unfortunate for both of us if we were unable to overcome this hurdle, but as an investor I believe that you can easily understand why this situation makes me uncomfortable.

Steve Larkey


From: Ryan Scholes

To: Steve Larkey

Subject: Mr Anderson

Sent: Fri, 03 Dec 2004 06:49:32 +0800

Mr Steve Larkey,

Thanks for your mail and information in this pending mutual beneficial transaction. I have to inform you that I understand what you were saying about how to send funds to Kester & Co.

But you have to realise that some companies have their standard procedures and principles which all their client follow when dealing with them. I have to advise you that if they said that we should even send the funds to USA, but for the fact that they will at the end of the day get it, so be it. That is how I see it, except you do not trust what we are doing.

Moreso, I have to let you know that I have already committed some funds with them, so let us adhere to their instruction, and they will deliver. I agreed with them in principle that I am going to pay them through this way, so they said you should do it, you have to just go ahead and do it, we move forward. Please you know attorneys, how their attitudes can be.

However, I am of the opinion that you should forward the funds the way they want it, because I have already agreed with them in principle. I apologise for not getting you involved earlier on, so just adhere to their instruction, we will move forward. Do not bother about how much it is going to cost for sending it but just bear in mind that you will make amends at the end of the day when the transaction is over.

Thanks for your understanding,

Ryan Scholes


From: Kester Anderson

To: Steve Larkey

Subject: Re: Mr Anderson

Sent: Fri, 03 Dec 2004 08:31:36 +0000 (GMT)

Steve Larkey,

Thanks for your mail and the commitment in this transaction.

I have to inform you that Kester & Co is a highly established law firm with an impeccable personality. We are straight in our dealings and will not want to hurt any of our client.

Mr Scholes who is our client and also your lender, agreed with us in principle how to send funds to us when we must have finalised the mediatory role. We were in agreement and he ought to have sent a brief to you, so I do not see the reason why we should be at a log jam.

I would like to assure you that your making payment to us through Western Union money transfer is not a crime. It is not stated in law that it is a criminal act and will not be. Rather this law firm has a long standing relationship with Western Union and it is a result of marketing promotion. So do not see it as anything or falsehood or irresponsibility, it is in our official memorandum. I advise that as soon as we finalise this transaction, you will still continue to use us as your attorney in the near future. Your sending funds to us by Western Union makes transfer faster, reliable and the safest and we have been using it in the past.

Moreso, I would want you to your best interest to send the funds by Western Union money transfer which is reliable, except you do not have your mind in this transaction. I do not have much to say as to assure you, but we are working to the tenets of our official standard rules and procedure, which all our client has to follow. This is a legitimate transaction which is legally binding. We have done our mediatory role, finished the agreement to the best of our ability, so we have to be paid and this is the form in which we want it, except you do not want to pay us.

Thanks for your corporation and understanding.

Yours sincerely,

Kester & Co


From: Steve Larkey

To: Kester Anderson

Subject: Mr Kester Anderson

Sent: Fri, 03 Dec 2004 17:38:18 -0800 (PST)

Mr Anderson,

I have committed my life and my dream into this project. I realise that I may be risking a lot here, but I apologise for my lack of comfort on this situation. As I expressed to Mr Scholes, I have never known an attorney/lawyer to ask for payment through Western Union and to ask for payment before their clients are taken care of. I am a very honest, trusting man of God and I want nothing more than for all of this to take care of itself and work itself out.

Again, as expressed to Mr Scholes in an earlier email, I am just as committed to this as you very well are and I thank you so kindly for all of your time and consideration throughout this transaction process. Please do not feel that I am trying to be bothersome or misunderstanding. I am just looking out for my best interests and the interests of my company in making sure that everything that is happening here is totally legit.

Is there anything you can possibly do, or tell me, Mr Anderson, to assure my comfort with this situation? It's not that I don't trust the money to be delivered, it's that any "Tom" could pick this money up with an answer to a test question and I have no way of tracking who received the funds at your end.

I look forward to a reply from you, Mr Anderson, as Mr Scholes has already replied as seen below. I will pray about my situation overnight in hopes that I will come to terms with the situation at hand by morning. I will be waking up several times throughout the night to check my email looking for a reply as there is a six hour time difference between our time and yours.

I have also taken it upon myself to attempt to locate your firm via the web and have been unable to do so. So, please bear with me for any inadequate feelings I may have currently.

Please understand I will comply with your request, but I need solid proof to back this up - and if there is any way possible to transfer the funds in a more solid fashion, please do not hesitate to let me know.

Thank you once again over, and over.

Best regards,

Steve Larkey


From: Kester Anderson

To: Steve Larkey

Subject: Contact

Sent: Fri, 03 Dec 2004 18:43:40 +0000 (GMT)

Sir,

We have a standing policy in our firm and we intend to stick with it.

If by any means you are not willing to send our fee through the way we outlined to you, then there is nothing we can do. We have carried out a service for which you are aware of, so paying our fee through whatever means we deem fit for us should not be an issue for discuss. What you should be concerned with is whether we will get the fee when sent and not how it is sent.

Your approach to this matter would make Mr Scholes begin to doubt your adherence to the terms of the agreement, because all the transaction thus far has been based on agreed terms/conditions.

You can call me on xx-xxx-xxx-xxxx so that we can talk.

Kester Anderson Esq, Senior Member


From: Amy Barton

To: Kester Anderson

Subject: Mr Anderson

Sent: Fri, 03 Dec 2004 05:31:14 -0800 (PST)

Mr Anderson,

I hope this email finds you well.

We fully intend to pay you for your services. There was never a question of you receiving payment. It was always a question of "how" you will receive payment.

After reading your email I have come to this conclusion, and please bear with me for all I want to do is ensure the safety of all transactions - I am positively sure if you were in our shoes you would have some of the same concerns and my actions with any other investor/attorney in this fashion would be the same.

I understand Western Union money transfer is your policy in which you receive all fundings. Please correct me if I am wrong. I was under the impression, in the beginning, that all monies would be wire transferred from one account to another and I felt safe with that transaction. However, my only concern with this current transaction is that there will not be a paper trail to follow in regards to who has received it. I was also told, by my current Western Union agent, that with a control number AND a test question and answer, that a formal ID would NOT be required in order to have the funds released. That makes me feel extremely uneasy. Looking at xxxxxxxx.com (where Mr Scholes originally located my information) it is to my understanding that it does not require any additional information in order for an investor to contact a hopeful entrepreneur.

With this said, you must understand my reason for questioning the legitimacy at stake. I do not deny your respectfulness and personality, but I am sure when dealing with clients first hand, they are able to view you, your surroundings, and any licensing required for your services. I would like the opportunity to do the same.

We will provide you with any information you require in return (ie DBA, licence, etc), as you already have the account information provided for you. Upon receiving a scanned copy of your licence as an attorney or any form of solid information you can provide, you will immediately receive payment through Western Union money transfer.

I appreciate your cooperation on this matter as my present and future attorney. I want to develop a solid and good standing relationship with you as you will be handling all of our future dealings.

My SINCEREST thank yous,

Amy Barton


From: Amy Barton

To: Kester Anderson; Cc: Ryan Scholes

Subject: Please Respond

Sent: Fri, 03 Dec 2004 19:08:43 -0800 (PST)

Mr Anderson/Mr Scholes,

Below are common consumer fraud scenarios to be aware of - mind you, using Western Union transfers. I found this from some research that I ran across about Western Union - just out of my own morbid curiosity. I would like you to take a look at this and them MAYBE you can understand why we are so leary of this matter.

PLEASE contact us at xxx-xxx-xxxx between 2pm and 4pm your time (8am to 10am our time) to discuss. I have spoken with Mr Anderson, but Mr Larkey would like to speak with either one or both of you and it is not often that we are able to get through to either of you via phone.

I have bolded, underlined, and italicised the bullets that deal with this particular transaction, along with notes.

Best regards,

Amy Barton

===

Are there common consumer fraud scenarios to be aware of?

  • Be wary of once-in-a-lifetime investment opportunities.
  • Be wary of a return of a lost pet or valuables.
  • Beware of bargain-priced electronics or other equipment.
  • Be wary if you are required to pay a fee before receiving a loan being arranged on the phone or internet, particularly for international transactions.
  • Beware of sweepstakes, prize or lottery company representatives who tell you to transfer money to them in order to claim a prize you've won. There are many companies running fraudulent contests that ask you to transfer them money but give you nothing in return.
  • Beware of unsolicited letters or emails from a Nigerian or other foreign government official requesting assistance in the transfer of excess funds from a foreign country into your bank account.
  • Beware of telephone calls from the police claiming someone you know has been in an accident or arrested and is requesting money.
  • Beware of unsolicited letters or emails offering an unrealistic price for expensive or difficult to find merchandise.
  • Be wary if you receive a cheque that is for substantially more than the asking price of the merchandise you sold. Scam artists may pay for items with counterfeit cashiers' cheques and then ask you to send the overpayment back to them via a money order transfer service.
  • Beware of fraudulent job scams. Scam artists occasionally place ads for hard-to-get or "dream" jobs, such as positions aboard a cruise ship, then request fund transfers for uniforms or other items supposedly required for the jobs.
  • Make sure you know to whom you are sending money. If you are purchasing goods or services and paying through the Western Union network, it is your responsibility to verify the reputation and legitimacy of the seller. Western Union is not responsible for the non-receipt or quality of any goods or services. (which is why we requested the information that we did... if this is legit, we feel (as well as your neighbouring attorney that you would not have a problem proving your legitimacy).


And so the email exchange came to an end. To conclude, here's a note from "Amy" herself, who contacted scambuster419.co.uk with details of the attempted fraud:

"We have since received one phone call from Mr Anderson' asking us to please send the money via Western Union money transfer, to which we have responded that under no civil circumstances will we work with him under that policy and we would like to back away from his services. Mr Scholes' has yet to be heard from at all.

This has definitely taught us to research every situation before jumping onto the bandwagon when you're not so sure you know what it is you're getting into.

Thank goodness for scambuster419.co.uk and westernunion.com!"


Back to top


Copyright 2003-2026 www.gilbertmurray.co.uk. All rights reserved. Copyright notice


The Gilbert Murray Chronicles - originally published as scambuster419.co.uk